Л.В. АРХИПОВА - ИЗУЧАЕМ ГЛАГОЛЫ ДВИЖЕНИЯ

Учебное пособие «Изучаем глаголы движения» предназначено для студентов-иностранцев начального и среднего этапов обучения.
Основная цель пособия – сформировать у иностранных учащихся грамматический навык использования бесприставочных и приставочных глаголов однонаправленного и неоднонаправленного движения в реальных речевых ситуациях.
Пособие может быть использовано учащимися при самостоятельном изучении темы, преподавателем на уроках по грамматике или в качестве основного курса при изучении темы «Глаголы движения» на этапе предвузовской подготовки.
Учебное пособие состоит из пяти разделов и приложения, включающего в себя 4 систематизирующие справочные таблицы, которые иллюстрируют основные значения наиболее употребительных приставок в глаголах движения, образцы их правильного употребления в настоящем, прошедшем и будущем времени, образование приставочных глаголов движения совершенного и несовершенного видов I и II группы и некоторые переносные их значения в определенном контексте. Обращение к таблицам требуется для выполнения ряда заданий; их использование на занятии облегчает запоминание учащимися лексических значений приставок глаголов движения и помогает систематизировать знания о данных глаголах. Кроме того, в пособие включен обучающе-контролирующий тест, позволяющий определить уровень усвоения студентами изученной темы.
В I разделе – «Глаголы идти, ехать в конструкциях с винительным падежом для обозначения направления движения» – представлены глаголы идти, ехать в основных лексических значениях, их парадигма спряжений, и упражнения, которые направлены на отработку навыка употребления данных глаголов в различных актах коммуникации.
Во II разделе – «Глаголы движения без приставок» – изучаются глаголы однонаправленного и разнонаправленного движения. Глаголы I и II группы лаконично представлены в таблице; уяснить характер движения однонаправленных и неоднонаправленных глаголов помогает таблица-алгоритм с образцами фраз употребления изучаемых глаголов; различные по объему и степени трудности языковые и речевые упражнения этого раздела позволяют сформировать навык правильного употребления в речи бесприставочных глаголов однонаправленного и разнонаправленного движения.
В III разделе – «Глаголы идти-ходить, ехать-ездить с приставками по- и при- » – изучается образование глаголов движения совершенного вида при помощи приставок по-, при- (пойти, поехать; прийти, приехать), как наиболее употребительных в высказываниях, уясняется при помощи предложений-моделей значение данных приставок в глагольном слове и отрабатывается их употребление в речи в определенных типовых ситуациях.
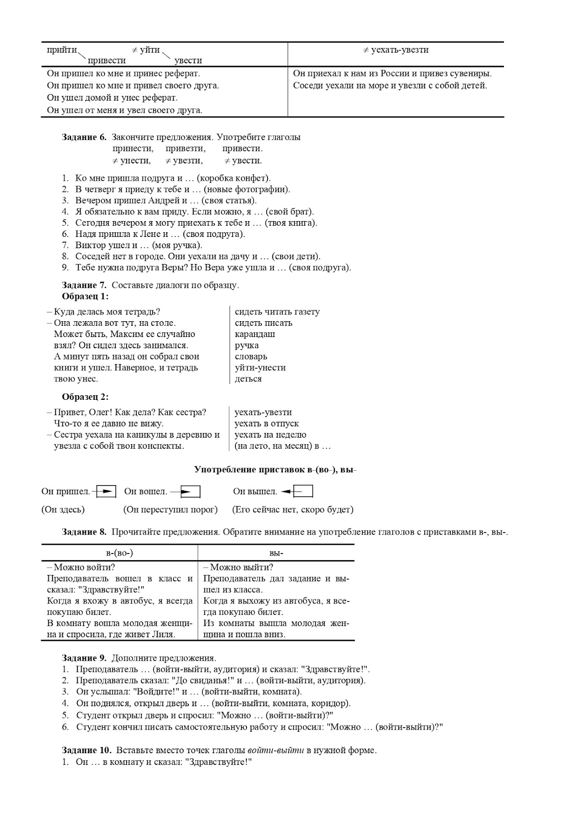
В IV разделе – «Глаголы движения с наиболее употребительными приставками» – представлены главным образом приставочные глаголы движения совершенного вида, образованные от глаголов однонаправленного движения идти, ехать присоединением приставок в-/во-/ въ- , вы-, при-, у-, под-/ подо-/ подъ-, от-/ото-/отъ-, до-, пере-, про-, за-. с-/съ-.об-/обо-. Однако можно обнаружить и такие грамматические задания, в которых закрепляется навык употребления приставочных глаголов движения несовершенного вида и приставочных глаголов, образованных от глаголов носить – нести, возить – везти. В этом разделе учащиеся знакомятся с лексическими приставками, которые меняют не только вид глагола движения, но и его лексическое значение. По представленным таблицам-алгоритмам уясняется значение новых приставочных глаголов и анализируется лексико-грамматическое значение конструкций с приставочными глаголами движения. В упражнениях данного раздела приводятся типичные речевые ситуации (типичные предложения) употребления русских приставочных глаголов движения.
Объем лексико-грамматического материала и последовательность его представления позволяют заниматься по данному пособию учащимся с различным уровнем подготовки. Большое количество заданий, включенных в его разделы, делает возможным использование их на занятиях с учетом объективных и субъективных факторов. При отборе материала для работы на занятии и определения последовательности его презентации преподаватель может, учитывая уровень подготовки группы, изучение одних приставок с глаголами движения опустить или перенести на более поздний этап обучения; в других случаях – уделить им особое внимание как активным для определенной сферы общения и необходимым для понимания включенных в пособие текстов.
Средством представления значения того или иного бесприставочного или приставочного глагола движения служат таблицы-алгоритмы, содержащие необходимые ориентиры для совершения умственного действия. Они способствуют предупреждению ошибок в употреблении глаголов движения, быстрому усвоению определенного грамматического закона и делают этот процесс управляемым и контролируемым со стороны самих учащихся.
Автором пособия представлены упражнения разного типа: на наблюдение, осмысление значения, узнавание изучаемого языкового явления, тренировку, выход в речь. Тексты, предлагаемые в V разделе учебного пособия, позволят систематизировать знания студентов-иностранцев и развить навыки употребления глаголов движения в различных речевых ситуациях. Их можно использовать как для закрепления новых, полученных на занятии знаний о глаголе движения, так и для чтения и развития речи.
Архипова Л.В.










































Комментарии
Отправить комментарий